Chúng hiện được tìm thấy trong nhiều ứng dụng khi các sản phẩm được phát triển để phù hợp với nhu cầu cụ thể.
Nhìn chung chất kết dính HMPUR có đặc điểm sau:
- Chúng ở thể rắn ở nhiệt độ phòng, tương tự như các chất kết dính nóng chảy khác là các polyme nhiệt dẻo chẳng hạn như Ethylene vinylacetate (EVA), Polyalphaolefin (PO)…
- Các nhiệt độ cho các ứng dụng như nhiệt độ làm việc từ 850C đến 1400C ít hơn nhiều do với các sản phẩm nóng chảy khác. Độ nhớt ở nhiệt độ ứng dụng có thể trong phạm vi từ 2.000-60.000 cps tùy thuộc vào yêu cầu cụ thể.
- Chất kết dính HMPUR đang được sản xuất với thời gian mở thay đổi từ 10 giây đến 10 phút để phù hợp với các ứng dụng.
- Đặc tính độc đáo mang lại cho chất kết dính HMPUR mang lại khác những chất kết dính nóng chảy khác là chúng phản ứng với độ ẩm trong không khí hoặc trong các chất nền để tạo ra các liên kết bền chặt.
- Đặc biệt chất kết dính có khả năng khác thời tiết và nhiệt độ rất tốt. HMPUR có thể chịu được nhiệt độ tiếp xúc từ -400F đến 2000F mà vẫn duy trì liên kết mạnh.
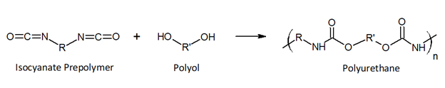
Chất kết dính HMPUR được sản xuất:
- Bằng cách phản ứng hỗn hợp Polyol với một lượng dư Diisocyanate. Phản ứng của nhóm Isocyanate (-NCO) với nhóm rượu (-OH) tạo ra nhóm Urethane. Thực tế là có lượng Diisocyanate dư thừa có nghĩa là trọng lượng phân tử của sản phẩm thu được không quá cao.
- Các chất kết dính này sau đó được chuyển từ lò phản ứng vào các gói giấy bạc dưới dạng tan chảy.
- Dưới dạng đóng gói được hút chất không để không có khí bên trong sau đó được làm mát.

Phản ứng tạo ra Polyurethane
CÔNG TY TNHH DCBOND VIỆT NAM
Mọi thông tin vui lòng liên hệ Công ty TNHH DCBOND Việt Nam
Địa chỉ: Số 30, ngõ 218/44 Lạc Long Quân, Phường Bưởi, Quận Tây Hồ, Hà Nội
Điện thoại: 0985.509.682 – 0968.848.856
Email: dcbondvietnam@gmail.com
